Solutions
Horse Construction offers full range of structural strengthening materials with technical supports, documentation supports, products supports, project supports.
CFRP Strengthening Reinforcement Calculation Method

1) Reinforced under bending.
In addition to the basic assumptions of the current national standard "Specifications for Design of Concrete Structures" on the calculation of the bearing capacity of the flexural members, the calculation of the bearing capacity when using carbon fiber to strengthen the beam and slab members should also meet the following requirements:
a. When the member reaches the ultimate state of flexural load-bearing capacity, the tensile strain of the carbon fiber is determined according to the assumption that the section strain remains flat, but should not exceed the allowable tensile strain of the carbon fiber;
b. When considering the influence of the secondary force, the initial strain of the concrete at the edge of the tension zone before reinforcement should be calculated based on the load condition during reinforcement and the assumption that the section strain remains flat;
c. The tensile stress of carbon fiber should be the product of the elastic modulus of carbon fiber and its tensile strain;
d. Before reaching the ultimate state of flexural bearing capacity, no bond peeling failure occurs between carbon fiber and concrete.
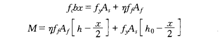
When the CFRP-reinforced concrete has a boundary failure, that is, when the failure occurs, the concrete is crushed and the CFRP is pulled off at the same time, the following formula can be used for calculation:

2) Reinforced by shearing.
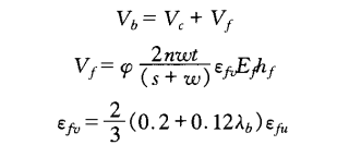
When the concrete beam is reinforced in shear, the shear capacity of the oblique section should be calculated according to the following formula:

3) Seismic reinforcement of the column.
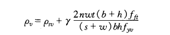
A closed method of pasting CFRP should be used. The total converted volume stirrup ratio of the column end stirrup densification zone should be calculated according to the following formula, and should meet the requirements of the current GB50010 concrete structure design code for the volume stirrup ratio of the column end stirrup densification zone.

You can find anything here you are in need of, have a trust trying on these products, you will find the big difference after that.
High strength, unidirectional carbon fiber wrap pre-saturated to form a carbon fiber reinforced polymer (CFRP) wrap used to strengthen structural concrete elements.
High strength carbon fiber reinforced polymer (CFRP) strip / laminate / plate for structural strengthening and concrete repair
High strength, unidirectional carbon fiber fabric pre-saturated to form a carbon fiber reinforced polymer (CFRP) fabric used to strengthen structural concrete elements.