Solutions
Horse Construction offers full range of structural strengthening materials with technical supports, documentation supports, products supports, project supports.
The application of prestressed fiber reinforced polymer (FRP) plates to the reinforcement and repair of civil structures can improve the engineering efficiency and the stress state of members.

Effective prestressing force
A rectangular RC beam is studied. The FRP sheet is first applied with tension Fpf, and then the FRP sheet is pasted on the bottom of the RC beam (as shown in Figure 1). When FRP sheets and concrete are bonded firmly, anchorage at both ends of RC beam and release tension Fpf.
When the tension Fpf is released, it is assumed that the prestressed FRP sheet reinforced RC beam is in the elastic deformation stage and conforms to the plane section assumption.

Sketch of the force applied to FRP laminate

Stress distribution on Ⅰ—Ⅰ section of RC beam
According to the static equilibrium relation, the following equations can be listed.

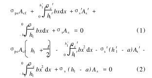
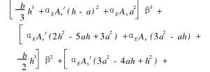
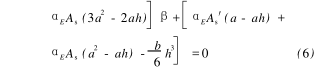
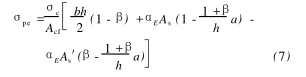
Formula: the tensile stress of FRP sheets released by tension F pf after the release of sigma PE. That is, effective prestressing; _s and_'s are the stresses of tensile steel bars (main bars) and compressive steel bars (erecting bars). Sigma C and sigma 'C are stress of concrete subjected to tension and compression respectively. A s and A 's are the cross-sectional area of tensile steel and compressive steel respectively. A CF is the cross-sectional area of FRP sheet. T is the thickness of the FRP plate. A is the thickness of reinforced concrete. B and H are the width and height of RC beam respectively. The definition of other symbols is shown in Figure 2.

In the formula, E s is the elastic modulus of reinforcing steel bar and E C is the elastic modulus of concrete.



Prestress loss
Prestress loss is unavoidable in prestressed structures, and there are many reasons for the loss of prestressing force. There are stress loss caused by friction between FRP laminate and concrete, stress relaxation caused by creep of FRP plate and stress loss caused by elastic compression of concrete. Among them, the stress loss caused by the elastic compression of concrete is the main prestress loss.
The sigma L is the prestress loss, and the sigma PF is the tensile stress of the FRP plate.
σ l = σ pf - σ pe
When the concrete is subjected to elastic deformation under the action of prestressing force, it is assumed that there is a plane section according to the deformation.
Δε pcf = Δε
From the stress-strain relationship

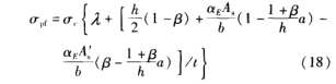
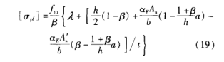
Allowable tension prestressing
After the prestressed FRP plate are bonded to RC beams which need reinforcement, the mechanical properties of the structure can be effectively improved and the reinforcement efficiency can be improved. However, the tensile prestress of the FRP plate is not the bigger the better, and the problem of the high tensile prestress will be the following:
(1) fiber breakage in FRP plates may be caused.
(2) the stress relaxation of FRP plate will increase with the increase of tensile force.
(3) the anchoring end will cause damage due to the excessive shear stress.
(4) The tensile prestress will cause micro-cracks on the tensile side of RC concrete. Therefore, the tensile Prestress Applied to FRP plates should be within the allowable range.


You can find anything here you are in need of, have a trust trying on these products, you will find the big difference after that.
High strength carbon fiber reinforced polymer (CFRP) strip / laminate / plate for structural strengthening and concrete repair
Prestressed carbon fiber reinforced polymer(CFRP) plate for slab, beam strengthening to increase stiffness, reduce distortion and deflection of members, reduce the cracks, avoid and stop cracking.
High strength carbon fiber reinforced polymer plate adhesive for applying CFRP laminate/strip/plate on the structural members